学校举行2025年度国家奖学金答辩

  • 发布时间:2025-10-11 
  • 发布时间:2025-10-11 
  •  点击:[]

  10月10日,best3652025年度国家奖学金答辩会在北图书馆一楼报告厅举行。

  各候选人分别从专业成绩、科研竞赛、社会实践等方面向观众展示自己的成果与收获,展现了民院学子勤奋好学、全面发展的精神风貌。








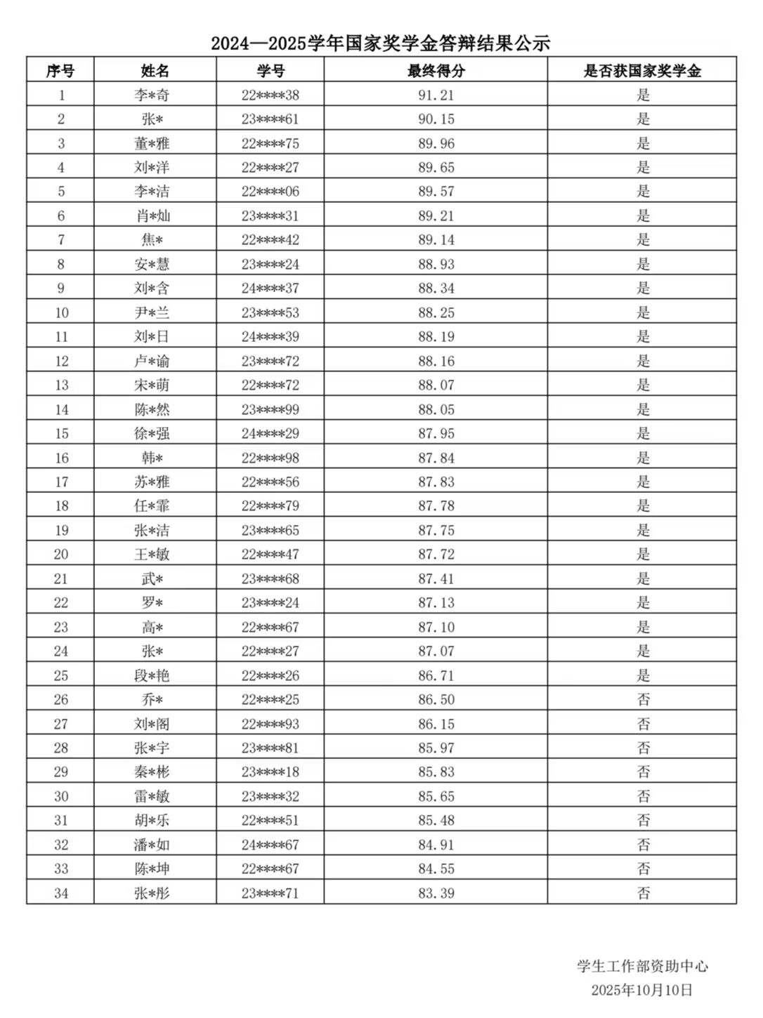
  答辩现场,经过各学院辅导员老师组成的民主评委打分,通过过材料评定、答辩展示综合评分,最终答辩结果如下:


  青春当怀凌云志,奋楫争先启新程。愿同学们在未来的求学时光中,坚守初心,果敢笃行,以奋斗的韶华培育出梦想的硕果!

上一条:学校召开2025年度学生医保工作专项会议
下一条:学校召开2025年第四期“亦师亦友议心声”学生代表座谈会

关闭